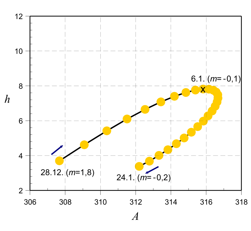
Merkur
Grafy viditelnosti
« Planety
« Merkur
ročník 2024
Obsah
Kalendář a čas
Slunce
Měsíc
Zatmění
Planety
Merkur
Grafy viditelnosti
Efemerida
Geocentrické úkazy
Heliocentrické úkazy
Heliocentrické souřadnice
Venuše
Mars
Jupiter
Saturn
Uran
Neptun
Oskulační elementy
Elongace planet
Trpasličí planety
Planetky
Komety
Meteory
Exoplanety
Proměnné hvězdy
Zákryty
Hvězdy
Kalendář úkazů
Slovníček
Menu
Grafy viditelnosti
hvězdářskou ročenku vydává Hvězdárna a planetárium hl. m. Prahy -
www.planetum.cz
// design+code ©
M.i.X
2010